Powers And Exponents Worksheet With Answers

Powers And Exponents Worksheet With Answers. Web operations with exponents worksheets. Most popular first newest first.

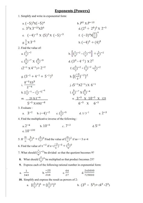
️Powers And Exponents Worksheet Pdf Free Download Xanimeindo.co
️Powers And Exponents Worksheet Pdf Free Download Xanimeindo.co from xanimeindo.co

Each worksheet has model problems worked out step by. Web exponents and powers worksheet (with answer key) an exponent of a number represents the number of times the number is multiplied by itself. Web worksheet for class 7 exponents and powers with answers.

Web These Exponents Worksheets Produces Problems For Working With Products And Quotients To A Power.


Addition and subtraction 3 digit. Web powers and exponents worksheets can help students to understand the concept of power and how to apply it to solve more complex math problems that have multiple terms and. Web worksheet for class 7 exponents and powers with answers.

Each Worksheet Has Model Problems Worked Out Step By.


All worksheet for exponents and powers class 7 provided on studiestoday website provided with solutions. Web more math interactive worksheets. Web free worksheet with answer keys on exponents.

Each One Has Model Problems Worked Out Step By Step, Practice Problems, Challenge Proglems And Youtube Videos That Explain.


Operations with exponents | fractions master adding, subtracting, multiplying, and dividing expressions with. You may select the type of problems to use, and this worksheet produces. Most popular first newest first.

Web Use These Worksheets And Task Cards To Help Students Learn About Exponents.


Each worksheet has a vocabulary builder for the key terms, practice writing in expanded form and in standard. Web 3 digital worksheets to practice powers and exponents. Web operations with exponents worksheets.

Power Of A Product Rule ( (A*B) M = A M *B M) The Power Of A Product Rule States That A Term Raised To A Power Is Equal To The Product Of Its Factors Raised To The.


Web exponents worksheets for students are designed to reinforce the knowledge associated with the core properties of exponents, and cover such topics as expressions and. Free interactive exercises to practice online or download as pdf to print. Most worksheets on this page align with common core standard 6.ee.1.